¿Cómo realizar el ensayo Proctor?
Ensayo Proctor según norma ASTM
En el mundo de la construcción y la ingeniería, la compactación del suelo es un proceso fundamental para garantizar la estabilidad de las estructuras.
Aquí discutiremos sobre el ensayo Proctor bajo la normativa ASTM, destacando su importancia para la ingeniería civil y cómo ayuda a crear bases sólidas para obras duraderas.
¿Alguna vez te has preguntado cómo se realiza el Proctor?
¿Qué es el ensayo Proctor?
Es un procedimiento vital para determinar las propiedades de compactación del suelo. Este ensayo establece cómo el suelo debe ser compactado y ofrece pautas cruciales para ingenieros y constructores.
Este se rige bajo la normativa ASTM y se divide en 2 tipos:
Proctor Estándar o Normal: ASTM D698
Proctor Modificado: ASTM D1557
Básicamente la diferencia entre el Proctor Estándar y Modificado radica en la energía específica aplicada durante el ensayo. El Proctor Estándar utiliza una energía más baja, mientras que el Proctor Modificado aplica una energía mayor (aproximadamente 4,5 veces la del Proctor Normal). Esta diferencia fundamental refleja las diversas condiciones que el suelo podría encontrar en la realidad, desde compactación ligera hasta condiciones más extremas.
La Energía específica (Ee) se calcula a través de la siguiente ecuación:


Donde: N = Número de golpes por capa, n = Número de capas de suelo, W = Peso del martillo, h = altura de caída libre del martillo, y V = volumen del suelo compactado.
Diferencias entre el Proctor Normal y Proctor Modificado
Como ya fue mencionado con anterioridad la diferencia principal radica en la energía aplicada durante el ensayo y esta diferencia es generada por los elementos que componen la formación de la probeta del ensayo, como: el número de capas para crear la probeta, el número de golpes en cada una de las capas, el peso del martillo y la altura de caída libre del martillo.
Además, es relevante mencionar que durante el ensayo Proctor existen dos tipos de moldes cilíndricos utilizados que dependen del tamaño máximo de partícula (según análisis granulométrico).
Molde de 4” (100mm): Se utiliza con material pasante del tamiz #4.
Molde de 6” (150mm): Se utiliza con material pasante del tamiz ¾”.
La diferencia entre ambos ensayos se muestra a través de la siguiente tabla:


¿Cómo se realiza el ensayo Proctor?
Básicamente ambos ensayos (Proctor Modificado y Normal) se rigen bajo la misma metodología, con las diferencias mostradas en la tabla anterior.
1. Se debe secar la muestra empleada para el ensayo al aire libre o en horno a una temperatura de 60°C, donde dependiendo del molde a utilizar durante el ensayo se deberá secar aproximadamente 15 Kg (molde de 4”) o 30Kg (molde de 6”). Aquí se deben disgregar los terrones, evitando reducir el tamaño natural de las partículas.
2. Se debe separar la muestra en 5 fracciones y cada una de estas debe ser humedecidas con contenidos de humedad distintos. Donde exista una diferencia entre cada una de las fracciones de 2% aproximadamente y se distribuyan en las proximidades de la humedad óptima. La muestra se debe curar por aproximadamente 24h para suelos de alta plasticidad, 3h para suelos de plasticidad media y 30min para suelos de plasticidad nula, para asegurar homogeneizar las fases sólidas y líquidas de la muestra.
3. Se debe llenar el molde con una capa de 1/3 o 1/5 dependiendo del Proctor que se esté realizando y compactar la capa de suelo con 25 o 56 golpes dependiendo del molde utilizado.
4. Se debe repetir el paso número 3 varias veces hasta rellenar todo el cilindro, escarificando ligeramente la capa compacta anterior antes de agregar una nueva capa. Al compactar la última capa debe quedar un pequeño exceso de material por sobre el borde del molde.
5. Al terminar la compactación se debe retirar el collar del molde y enrasar cuidadosamente con una regla de nivel, luego se debe pesar y restar el peso del molde para determinar el peso del material dentro de este.
Al finalizar cada una de las probetas se puede determinar el peso unitario húmedo y el contenido de humedad de cada probeta ensayada.
¿Qué se obtiene del Proctor?
Curva de Compactación del Suelo
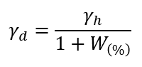
La curva de compactación del suelo es el resultado directo del ensayo Proctor, muestra la relación entre el contenido de humedad y la densidad seca del suelo. Esta curva es esencial para determinar la cantidad óptima de humedad que debe estar presente durante el proceso de compactación para alcanzar la máxima densidad. En pocas palabras, representa la condición ideal para la mezcla de suelo.
Para generar la curva de compactación se debe determinar el peso unitario seco de cada una de las muestras ensayadas (5 probetas).


Y se procede a representar cada uno de estos puntos en un gráfico:


En la curva de compactación se puede ver la diferencia existente entre el ensayo Proctor Modificado y Proctor Estándar, donde básicamente esto ocurre debido al cambio de energía durante el proceso de compactación del suelo. Lo primordial a identificar en este ensayo es el punto óptimo (punto más alto de la curvatura), el cual nos indicará la cantidad óptima de humedad que debe estar presente durante el proceso de compactación para alcanzar la máxima densidad.
Además, dentro de estas curvas se puede identificar la rama seca y húmeda del ensayo la cual nos dará mejores o peores propiedades en el suelo según el punto de compactación en el que esté el material.
Sin embargo, siempre se busca compactar en el punto óptimo de la curvatura


El ensayo Proctor bajo las normativas ASTM es el ensayo por excelencia dentro de la compactación de los suelos. Ya que convierte el suelo en una base sólida para nuestras estructuras, proporcionando los datos necesarios para la correcta compactación. Permitiendole así a los ingenieros geotécnicos poder crear cimientos que perduren en el tiempo, asegurando la estabilidad y seguridad de las construcciones.
Para más información sobre geotecnia y otros temas relacionados, ¡no dudes en visitar nuestro canal de YouTube!


Otros artículos que pueden ser de tu interés
