¿Cómo se realiza el Análisis Granulométrico en suelos?
Análisis Granulométrico
Clasificación de los Suelos
El análisis granulométrico de suelos juega un papel fundamental en la clasificación y comprensión de su comportamiento. ¿Te has preguntado alguna vez qué es y cómo se realiza este análisis?
En este artículo, te mostraré el proceso del análisis granulométrico, el procedimiento para el tamizado del suelo y la importancia de la curva granulométrica en la clasificación de suelos.
¿Qué es el Análisis Granulométrico?
El análisis granulométrico es un procedimiento utilizado para clasificar los suelos según el tamaño de sus partículas. Se basa en la relación entre el tamaño de grano y el porcentaje de partículas que pasa a través de cada tamiz utilizado en el proceso. Esta información es representada gráficamente mediante la curva granulométrica, que ofrece una visión de la distribución de tamaños de partículas en el suelo.
¿Cómo se realiza el Análisis Granulométrico?
El análisis granulométrico sigue la normativa ASTM D422 y se divide en dos partes:
Tamizado para Partículas Mayores a 75 micras (Tamiz #200): Este proceso se realiza mediante el tamizado, donde se separan los granos de suelo en diferentes tamices hasta el tamiz #200. Se cuantifica el porcentaje retenido en cada tamiz y los más comúnes utilizados son:
Ensayo Hidrométrico para Partículas Menores a 2 mm (Tamiz #10): Para obtener resultados precisos, se utiliza el ensayo hidrométrico para analizar partículas menores o iguales a 2mm. Sin embargo, para obtener resultados de alta fiabilidad se utiliza para clasificar el suelo fino, partículas menores o iguales a 75 micras (tamiz #200).
Tamiz
Abertura [mm]
Tamiz
Abertura [mm]
3"
2"
1"
3/4"
3/8"
1/4"
#4
#10
#20
#60
#100
#200
76,20
50,80
25,40
19,10
9,52
6,35
4,76
2,00
0,85
0,25
0,149
0,075
Procedimiento para el tamizado del suelo
Se debe homogeneizar toda la muestra húmeda y realizar un cuarteo hasta obtener una cantidad mínima de muestra seca superior a la mostrada en la tabla, según el tamaño máximo absoluto del suelo:
Tamaño máximo absoluto del suelo [mm]
Cantidad mínima de muestra para el ensayo [kg]
5
10
20
25
50
0,5
2,0
5,0
10
15
En la muestra homogénea se debe separar el suelo fino de las gravas y arenas utilizando agua de ser necesario, además de deshacer los terrones con los dedos.
La muestra se debe secar, ingresando toda la masa de suelo húmeda a un horno con temperatura de 110 ± 5 °C; sin embargo, si en la muestra existe suelo orgánico se debe secar a una temperatura de 60 ± 5 °C. Todos los suelos que deban ser secados deben ser bajo este rango de temperaturas.
Ya homogeneizada la muestra se inicia con el paso a paso del proceso de tamizado:
1.Pesar toda la muestra seca con aproximación al gramo.
2.Calcular el porcentaje de sobretamaño (ST) utilizando el tamiz de mayor abertura (3"):
3.Cortar la masa de tamizado hasta el tamiz #4.
El material retenido en el tamiz #4 debe ser colocado en un recipiente limpio y se le debe agregar agua potable hasta cubrir todo el material. Con el siguiente procedimiento:
Se agita el agua del recipiente con el fin de separar el material más fino, dejando en suspensión y disolución las partículas finas.
El agua que contiene material fino en suspensión se vacía nuevamente en el tamiz #4 hasta el tamiz #200 (los tamices deben ser colocados de forma decreciente).
Este procedimiento se debe repetir hasta que el agua agitada termine sin ninguna partícula suspendida.
4.El material retenido en el tamiz #4 se debe secar y calcular el porcentaje retenido (R):
Del material pasante del tamiz #4 se debe cuartear una muestra de (500-1.000)g, llamada “cuarteo pasante del tamiz #4”.
El cuarteo pasante del tamiz #4 debe ser lavado cuidadosamente desde el tamiz #4 hasta el tamiz #200 (los tamices deben ser colocados de forma decreciente). Luego el material retenido en cada tamiz debe ser colocado en un recipiente limpio y secarse.
5.Calcular el porcentaje retenido (R) entre el tamiz #4 y el tamiz #200:
El material pasante del tamiz #10 se puede utilizar para el ensayo hidrométrico de requerirse precisión.
El material pasante del tamiz #200 debe ser usado para determinar el límite líquido y límite plástico para clasificar el suelo fino utilizando la carta de plasticidad.

¿Que es la Curva Granulométrica?
La curva granulométrica es la representación gráfica del proceso de tamizado. En ella, el porcentaje pasante se muestra en las ordenadas en escala natural, mientras que el tamaño de las partículas se representa en las abscisas con escala logarítmica. La curva granulométrica es una herramienta visual que permite identificar si el suelo está bien o mal graduado.


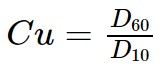
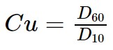
La graduación del suelo también puede realizase de forma analítica con el coeficiente de uniformidad (Cu) propuesto por Allen Hazen y el coeficiente de curvatura (Cc) para clasificar arenas y gravas.
Los valores de D60, D30 y D10 son los tamaños de las partículas cuando el porcentaje pasante es 60%, 30% y 10% respectivamente.
Es importante destacar que existen parámetros diferentes dentro de los coeficientes para considerar que las arenas y las gravas están bien graduadas:
Arenas: El coeficiente de uniformidad debe ser mayor a 4 y el coeficiente de curvatura debe estar entre 1 y 3, para ser considerada una arena bien graduada.
Gravas: El coeficiente de uniformidad debe ser mayor a 6 y el coeficiente de curvatura debe estar entre 1 y 3, para ser considerada una grava bien graduada.


El análisis granulométrico es un procedimiento utilizado para clasificar los suelos según el tamaño de sus partículas. Se basa en la relación entre el tamaño de grano y el porcentaje de partículas que pasa a través de cada tamiz. Esta información es representada gráficamente mediante la curva granulométrica, que ofrece una visión de la distribución de tamaños de partículas en el suelo.
Otros artículos que pueden ser de tu interés
