
Permeabilidad en los Suelos
En este artículo, exploraremos el concepto crucial de permeabilidad en los suelos. Desde entender qué es la permeabilidad, hasta descubrir cómo se calcula y cuáles son los suelos más y menos permeables
¿Qué es la permeabilidad del suelo?
La permeabilidad es la propiedad del suelo que permite que el agua y otros fluidos se desplacen a través de sus vacíos interconectados. Esta propiedad es esencial, ya que afecta la cantidad de agua que un suelo puede retener y mover a través del terreno. Siendo una propiedad clave para múltiples aplicaciones desde la agricultura hasta la ingeniería.
El agua puede fluir desde las áreas de mayor energía hacia las de menor energía y la velocidad de este flujo se cuantifica mediante el coeficiente de permeabilidad o conductividad hidráulica, denotado por la letra k. Esta propiedad es fundamental para entender cuánta agua puede retener un suelo y cómo se mueve a través del terreno.
La permeabilidad depende de varios factores, dentro de los que se encuentra la viscosidad del fluido y de las propiedades del terreno, como:
Tamaño de las Partículas: Suelos con partículas grandes permiten un flujo más rápido debido a los espacios más grandes entre ellas.
Distribución Granulométrica: La disposición de diferentes tamaños de partículas también juega un papel crucial. Una mezcla bien equilibrada puede generar un suelo más permeable.
Compacidad: Cuanto más compacto sea un suelo, menos espacios habrá para que el agua fluya, lo que disminuye su permeabilidad.
Grado de Saturación: Un suelo saturado de agua puede tener una permeabilidad diferente a un suelo parcialmente saturado, ya que los espacios ya pueden estar ocupados por agua.
¿Cuáles son los Suelos Más y Menos Permeables?
La permeabilidad del suelo puede variar dependiendo su composición. Por ejemplo: Los suelos arenosos son conocidos por ser altamente permeables, debido a que sus grandes partículas permiten que el agua fluya rápidamente a través de ellas. Por otro lado, los suelos arcillosos tienden a ser menos permeables debido a que sus partículas son más pequeñas y compactas. Mientras que los suelos limosos se encuentran en un punto intermedio en términos de permeabilidad.
Además, existen valores tabulados para la estimación de las permeabilidades en los suelos, aunque siempre es recomendable realizar los ensayos pertinentes para determinarla.


Das, B. M., & González, S. R. C. (2015)
Fundamentos del Flujo de Agua
En el mundo de la hidráulica y la mecánica de fluidos, se utilizan ecuaciones complejas para entender cómo el agua se mueve y se comporta en diferentes entornos. La ecuación de Bernoulli es una de las herramientas fundamentales que los ingenieros usan para entender el comportamiento del agua en movimiento.
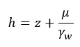
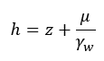
Esta ecuación nos permite calcular la altura total hidráulica (h) de un punto específico en un sistema de agua en movimiento. Compuesta por tres componentes esenciales:
Altura Geométrica: Representa la altura vertical del punto en consideración sobre un punto de referencia, generalmente el nivel del suelo o la base del sistema.
Altura Piezométrica: Esta componente tiene en cuenta la presión del agua.
Altura de Velocidad: Esta parte de la ecuación tiene en cuenta la energía cinética del agua en movimiento.


Sin embargo, cuando se trata de medios porosos como el suelo, la situación se complica. En estos entornos, las velocidades del agua son extremadamente bajas debido a la obstrucción que las partículas del suelo imponen al flujo del agua. Por lo tanto, la altura de velocidad del sistema se desprecia en la ecuación de Bernoulli para suelos, quedando así la altura total hidráulica de un punto como:


¿Cómo se calcula la Permeabilidad del Suelo?
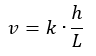
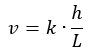
En la mecánica de suelos el flujo de agua en medios porosos está gobernada por una ley descubierta experimentalmente por Henri Darcy en 1856 investigando las características del flujo del agua a través de filtros formados precisamente por materiales térreos.
Darcy trabajó en dispositivos muy similares al mostrado a continuación:


Darcy encontró que, para velocidades suficientemente pequeñas, la velocidad del agua (v) es directamente proporcional a la carga hidráulica (h) e inversamente proporcional a la longitud (L) del flujo:


Donde k es el coeficiente de permeabilidad del suelo. La relación entre la carga hidráulica y la longitud es mejor conocida como gradiente hidráulico (i), reescribiéndose la ecuación de velocidad como:
Si se desea conocer el caudal, se sabe que el caudal es la velocidad por el área, por lo tanto, se puede decir que el caudal es:

Donde, A es el área perpendicular al flujo, esto quiere decir que es la sección transversal que se encuentra en el gráfico.
¿Cómo se calcula el Gradiente Hidráulico?
Comenzamos por obtener el valor de la carga hidráulica de este dispositivo:

La longitud L para el gradiente hidráulico es la distancia paralela al flujo entre el punto “j” y “d” como se pudo observar en el esquema anterior. Por lo que el gradiente hidráulico es:


Hipótesis en la Ley de Darcy
Es importante recordar que todos los planteamientos realizados, se basan en la ley de Darcy y tiene hipótesis muy importantes:
Homogeneidad e Isotropía: El suelo es uniforme en todas las direcciones y propiedades.
Rigidez del Suelo: La estructura y porosidad del suelo se mantienen constantes durante el flujo.
Fuerza de Inercia Despreciable: Las fuerzas de inercia son mínimas en comparación con las fuerzas viscosas durante el flujo.
Determinación Práctica de la Permeabilidad
Podemos recordar que esta es una ley descubierta experimentalmente por Henri Darcy, y en los laboratorios existen instrumentos que nos permiten medir la permeabilidad de forma directa, estos instrumentos se llaman permeámetros.
Estos dispositivos, vienen en dos tipos principales (permeámetros de carga constante y permeámetros de carga variable), los cuales permiten a los ingenieros medir directamente la permeabilidad del suelo en condiciones controladas.
Variaciones de Velocidad dentro del Suelo
La permeabilidad en un suelo no es estática y varía según el gradiente hidráulico, donde existen 3 zonas:


Zona 1: Flujo laminar, cuando el gradiente hidráulico se incrementa gradualmente y el flujo sigue siendo laminar, mantiene una relación lineal la velocidad con el gradiente hidráulico.
Zona 2: Flujo de transición, donde el flujo empieza a volverse turbulento.
Zona 3: Flujo turbulento, generalmente sucede en los suelos gruesos donde las velocidades son significativamente altas, en este la relación entre el gradiente hidráulico y la velocidad deja de ser lineal.
Se debe recordar que la ley de Darcy es válida solo para condiciones de flujo laminar ya que es solo para velocidades muy pequeñas, esto quiere decir que deja de ser válida para condiciones de flujo turbulento.
En resumen, la permeabilidad del suelo es un concepto clave que abre las puertas al mundo subterráneo. Al entender qué es la permeabilidad, cómo se mide y qué suelos son más o menos permeables, ganamos una perspectiva valiosa sobre cómo el agua se mueve y se comporta bajo la superficie terrestre.
En la práctica, entender la permeabilidad de un suelo es esencial para el diseño de sistemas de drenaje, la construcción de presas, la gestión de acuíferos y muchos otros proyectos de ingeniería civil. Los ingenieros utilizan datos sobre la permeabilidad del suelo para garantizar que el agua se mueva de manera segura y controlada en diversas situaciones, desde evitar inundaciones hasta garantizar un suministro estable de agua subterránea.
Para más información sobre geotecnia y otros temas relacionados, ¡no dudes en visitar nuestro canal de YouTube!

