¿Cuáles son las Relaciones Volumétricas y Gravimétricas en Suelos?
Relaciones Volumétricas y Gravimétricas en Suelos
Un aspecto esencial para entender las propiedades y comportamientos en la mecánica de suelos.
A lo largo del texto, aprenderás el concepto del sistema trifásico, diagrama de caja y las fórmulas clave que nos permiten correlacionar y obtener parámetros importantes del suelo.
¿Qué son las Relaciones Volumétricas y Gravimétricas en Suelos?
En la mecánica de suelos, es fundamental comprender las relaciones volumétricas y gravimétricas para establecer correlaciones y obtener parámetros relevantes del suelo. Este se compone de tres fases principales:
Fase Sólida: Constituida por las partículas minerales del suelo.
Fase Líquida: Mayoritariamente agua, aunque también puede contener otros fluidos.
Fase Gaseosa: Principalmente aire, aunque otros gases también pueden estar presentes.


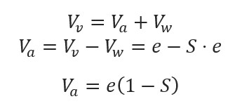
Mediante estas tres fases, se puede definir el concepto de volumen de vacíos (Vv), que representa la suma del volumen de aire (Va) y el volumen de agua (Vw), siendo la suma de los volúmenes de la fase gaseosa y líquida. Cuando todo el volumen de vacíos está ocupado por agua, se dice que el suelo está saturado, y el volumen de aire (Va) desaparece.
El suelo también puede estar conformado por materia orgánica (en diversas formas y cantidades), sin embargo, desde el punto de vista de las propiedades mecánicas del suelo no es considerado al momento de medir los pesos y volúmenes relativos en las 3 fases principales, pero es tomado en cuenta en etapas posteriores del estudio de los suelos, debido a la influencia que este tiene.
Diagrama de Caja en Suelos
El suelo, al estar compuesto por tres fases, se considera un sistema trifásico, y se pueden representar todas las relaciones volumétricas y gravimétricas mediante un diagrama de caja.
En el diagrama de caja, se relacionan los volúmenes (lado izquierdo) y los pesos (lado derecho). Los volúmenes incluyen el volumen de aire (Va), el volumen de agua (Vw), el volumen de suelo (Vs), el volumen de vacíos (Vv) y el volumen total (Vt). En cuanto a los pesos, se tienen el peso del agua (Ww), el peso del suelo (Ws) y el peso total (Wt).


Se le conoce a la relación entre el peso y el volumen como peso unitario o peso específico:
Del peso específico se pueden extrapolar relaciones como el peso específico seco, húmedo y saturado de los suelos:
Peso específico seco:
Peso específico húmedo o saturado:




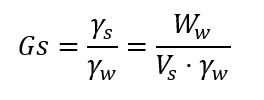
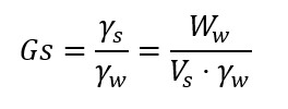
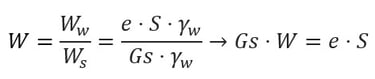
Ya definidos los pesos unitarios en los suelos, se puede correlacionar el peso específico del suelo con el peso específico del agua, esta correlación es conocida como la gravedad específica de los sólidos o gravedad específica del suelo (Gs):


Fórmulas Clave de Relaciones Volumétricas y Gravimétricas
Las relaciones volumétricas y gravimétricas proporcionan información vital sobre las propiedades del suelo. A continuación, presentamos las fórmulas más importantes:
Contenido de Humedad (W%): Relación entre el peso del agua (Ww) y el peso del suelo (Ws).


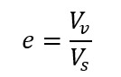
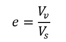
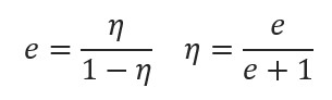
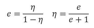
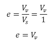
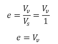
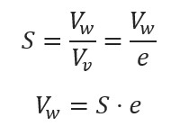
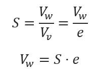
Relación de Vacíos (e): Relación entre el volumen de vacíos (Vv) y el volumen de suelo (Vs).


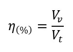
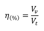
Porosidad (η%): Relación entre el volumen de vacíos (Vv) y el volumen total (Vt).


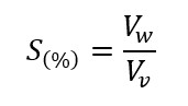
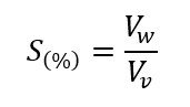
Grado de Saturación (S%): Relación entre el volumen de agua (Vw) y el volumen de vacíos (Vv).


Además, existe una correlación entre la relación de vacíos o índice de vacíos y la porosidad del suelo:


Diagrama de Caja en Suelos
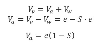
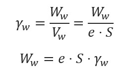
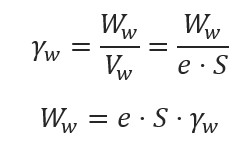
Dentro de la mecánica de suelos, utilizamos una idealización en el diagrama de caja que considera el volumen de suelo (Vs) igual a uno (1). Con esta simplificación, las fórmulas se redefinen para facilitar los cálculos.


Para los volúmenes:


Por último, recordando la definición del contenido de humedad y las correlaciones encontradas debido a la caja idealizada se puede generar la siguiente correlación:






Para los pesos:




Las relaciones volumétricas y gravimétricas en suelos son fundamentales para entender sus propiedades y comportamiento mecánico.
El diagrama de caja nos permite visualizar estas relaciones y obtener información valiosa sobre el contenido de humedad, relación de vacíos, porosidad y grado de saturación del suelo. La idealización del sistema trifásico simplifica los cálculos y facilita la comprensión de estos parámetros clave.
En la geotecnia, el conocimiento de estas relaciones nos ayuda a tomar decisiones informadas en el diseño y construcción de proyectos, garantizando un manejo adecuado y seguro del suelo. Esperamos que este artículo haya sido esclarecedor y útil para su comprensión de las relaciones volumétricas y gravimétricas en suelos.
Para más información sobre geotecnia y otros temas relacionados, ¡no dudes en visitar nuestro canal de YouTube!


Otros artículos que pueden ser de tu interés
